پادکست وزن میلگرد بافق یزد
وزن میلگرد بافق یزد
وزن میلگرد بافق یزد بهعنوان یکی از ویژگیهای کلیدی این محصول، بر اساس قطر و طول میلگرد محاسبه میشود و نقش مهمی در تخمین هزینهها و محاسبه استحکام سازهها دارد. میلگردهای تولیدی کارخانه بافق یزد با استفاده از فولاد با کیفیت بالا و مطابق با استانداردهای ملی تولید میشوند و چگالی تقریبی آنها معمولاً ۷۸۵۰ کیلوگرم بر متر مکعب است. این وزن استاندارد، تضمینکننده استحکام میلگرد در برابر نیروهای کششی و خمشی در پروژههای ساختمانی و عمرانی است. با دانستن وزن میلگرد بافق یزد، پیمانکاران و مهندسان میتوانند بهطور دقیق مقدار میلگرد موردنیاز و هزینههای مربوط به خرید و حملونقل آن را محاسبه کنند.
مجتمع بافق یزد وزن محصولات خود را بر اساس استاندارد ملی 3132 مشخص میکند. با استفاده از جداول استاندارد، وزن انواع محصولات این کارخانه قابل محاسبه است. به این منظور، طول محصولات که معمولاً 12 متر است، با اعداد جدول ضرب میشود. به عنوان مثال، وزن میلگرد سایز 8 بافق برابر با 0.395 کیلوگرم بر متر است، و وزن محصولات سایز 12 برابر با 0.888 و وزن محصولات سایز 16 برابر با 1.6 است.
فرمول محاسبه وزن میلگرد
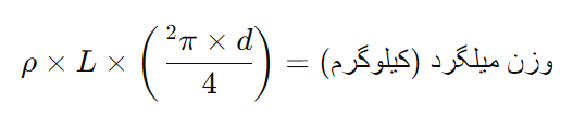
برای محاسبه وزن میلگرد بافق یزد، از فرمول زیر استفاده میشود:

که در اینجا:
d: قطر میلگرد به متر (برای مثال، اگر میلگرد 22 باشد، d=0.022 متر)
L: طول میلگرد به متر
P: چگالی فولاد، که معمولاً 7850 کیلوگرم بر متر مکعب است
π: مقدار ثابت پی (≈3.1416)
به طور ساده، وزن میلگرد با توجه به قطر و طول آن و با ضرب در چگالی فولاد محاسبه میشود.
فهرست محتوا
مثالهای عملی محاسبه وزن میلگرد بافق یزد
در این بخش، با ارائه چند مثال عملی، وزن میلگردهای مختلف تولیدی بافق یزد محاسبه میشود.
مثال ۱: محاسبه وزن میلگرد بافق یزد با قطر ۱۸ میلیمتر و طول ۱۲ متر

با انجام محاسبات:

وزن به ازای ۱۲ متر محاسبه شده و به نتیجهای مشابه با وزن یک شاخه میلگرد ۱۸ میلیمتر با طول ۱۲ متر میرسیم.
جدول وزن میلگرد با قطرهای مختلف تولیدی بافق یزد
در این بخش، یک جدول از وزن میلگردهای مختلف تولیدی بافق یزد بر اساس قطر و طول ارائه میشود. این جدول به کاربران کمک میکند تا با اطلاعات دقیقتری از وزن میلگرد بر اساس نیاز خود استفاده کنند.
نحوه محاسبه قیمت میلگرد بافق یزد
قیمت میلگرد به عوامل مختلفی بستگی دارد، از جمله:
وزن میلگرد: قیمت نهایی میلگرد به وزن آن بستگی دارد و هرچه وزن بیشتر باشد، قیمت نیز افزایش مییابد.
قیمت بازار فولاد: قیمت فولاد و نوسانات نرخ ارز نیز به طور مستقیم بر قیمت میلگرد تأثیر دارد.
هزینه حمل و نقل: بسته به مسافت از کارخانه تا محل پروژه، هزینههای حمل و نقل ممکن است تغییر کند.
تقاضای بازار: میزان عرضه و تقاضا نیز بر قیمت نهایی تأثیر دارد.
مثال محاسبه قیمت
فرض کنید قیمت هر کیلوگرم میلگرد بافق یزد در بازار ۲۵,۰۰۰ تومان است. در این صورت، برای محاسبه قیمت یک شاخه میلگرد با طول ۱۲ متر و قطر ۱۸ میلیمتر (وزن حدود ۲۱.۳۴ کیلوگرم)، از فرمول زیر استفاده میکنیم:

نتیجه: قیمت یک شاخه میلگرد ۱۸ میلیمتر با طول ۱۲ متر از بافق یزد حدود ۵۳۳,۵۰۰ تومان است.
نکات مهم در خرید و استفاده از میلگرد بافق یزد
کیفیت سطحی: میلگردهای با کیفیت باید سطحی صاف و بدون زنگزدگی داشته باشند.
توجه به استانداردها: میلگردها باید مطابق با استانداردهای ملی و بینالمللی باشند.
منبع خرید مطمئن: خرید از تولیدکنندگان و فروشندگان معتبر اطمینان از کیفیت محصول را فراهم میکند.
اندازه میلگردهای مجتمع بافق یزد
کارخانه بافق محصولات خود را در سایزهای 8 تا 32 با بالاترین کیفیت تولید میکند و بیشترین خریداران این محصولات در شهرهای یزد، تهران، اصفهان و کرمان قرار دارند. محصولات گرید A3 این کارخانه در سایزهای 8، 10 و 14 بهصورت دو شاخه، سه شاخه و چهار شاخه تولید میشوند، همچنین سایزهای 16 تا 32 نیز در دسترس هستند. انتخاب سایز محصولات یکی از عوامل تعیین کننده قیمت میلگرد بافق یزد است.
کاربردهای میلگرد بافق یزد
میلگرد بافق یزد یک نوع میلگرد است که به دلیل ویژگیهای خاص خود مورد استفاده قرار میگیرد. این نوع میلگرد معمولاً دارای ویژگیهایی مانند کیفیت بالا، استحکام مناسب، مقاومت در برابر خوردگی و سایر شرایط زیانآور است. در نتیجه، میلگرد بافق یزد به عنوان ماده اولیه یا محصول نهایی در صنایع مختلفی مانند صنعت ساختمانی، صنعت خودروسازی برای تولید قطعات مختلف، صنایع فولاد، صنایع مبلمان و سایر صنایع آهنی مورد استفاده قرار میگیرد. به عنوان مثال، در ساخت و ساز، میلگرد بافق یزد برای ساخت قطعات فلزی مانند تیرآهن، استفاده میشود و در صنعت خودروسازی نیز به عنوان مواد اولیه برای تولید قطعات فلزی از جمله شاسی و قطعات مختلف مورد استفاده قرار میگیرد.
میلگرد بافق تولید یزد، به لطف ترکیب آلیاژهای خاص و فرآیندهای تولید، خواص مکانیکی بینظیری را ارائه میدهد و مقاومت بسیار بالایی در برابر خوردگی دارد. این ویژگیها آن را برای استفاده در انواع پروژههای ساختمانی ایدهآل میکند، از جمله سازههای بتن آرمه، فونداسیونها و سایر پروژههای معماری. میلگرد یزد، با فراهم کردن آرماتورهای لازم، به افزایش یکپارچگی سازهها و طول عمر بالاتر آنها کمک میکند و از مقاومت خود در برابر آزمون زمان اطمینان میبخشد.
انواع میلگرد بافق یزد
۱. میلگرد ساختمانی A3 یا آج ۴۰۰ با آج دوکی شکل به طول ۱۲ متر از سایز ۸ تا ۳۲.
۲. میلگرد ساختمانی A3 یا آج ۴۰۰ با آج دوکی شکل به طول ۹ متری از سایزهای ۱۴ و ۱۶.
۳. میلگرد ساختمانی A3 یا آج ۴۰۰ با آج دوکی شکل با طول سفارشی از سایز ۸ تا ۴۰.
۴. میلگرد ساختمانی A4 یا آج ۵۰۰ با آج دوکی شکل به طول ۱۲ متری.
۵. میلگرد ساختمانی A4 یا آج ۵۰۰ با آج دوکی شکل به طول ۹ متری از سایزهای ۱۴ و ۱۶.
۶. میلگرد ساختمانی َ4 یا آج ۵۰۰ با آج دوکی شکل با طول سفارشی از سایز ۸ تا ۴۰.
مزایای بکارگیری میلگرد مجتمع بافق یزد
مجتمع بافق یزد یکی از بزرگترین مجتمعهای فولادی کشور است که به صورت خصوصی اداره میشود. این مجتمع شامل پنج کارخانه اصلی است که به ترتیب نامهای کارخانه نورد میلگرد، احیا مستقیم، نورد مقاطع، گندلهسازی، و ذوب و ریختهگری را داراست و تحت مدیریت شرکت فولاد بافق یزد فعالیت میکند. یکی از مزایای بارز این واحد صنعتی، موقعیت جغرافیایی مناسب آن است که از طریق خطوط راهآهن ملی قابل دسترسی است و این امکان را فراهم میکند تا محصولات به سرعت و با هزینه مناسب حمل و نقل شوند. محصول A3 این کارخانه با استحکام بالا، مناسب برای استفاده در صنعت ساختمانی محسوب میشود و کاربردهای متعددی در زمینه ساخت و ساز دارد.
خصوصیات فیزیکی میلگرد بافق یزد
این کارخانه، انواع محصولاتی را تولید میکند که شامل میلگردهای ساده، آجدار جناغی، مارپیچ و مرکب در سایزهای مختلف هستند. محصولات بافق یزد از طریق استفاده از دستگاههای بسیار مدرن و پیشرفته، محصولات گرید A3 را به عنوان میلگرد خشک (ترد) برای پروژههای ساختمانی و سیویل صنعتی تولید میکنند، که اغلب از نوع آجدار جناغی هستند. تنش تسلیم این محصولات 4000 کیلوگرم بر سانتیمتر مربع و تنش گسیختگی آنها 6000 است؛ برای تولید A3 از شمش مرغوب استفاده میشود و تستهای مکانیکی، خمشی و کششی روی آنها انجام میشود. با این حال، به دلیل ویژگی ترد بودن، این محصول برای عملیات جوشکاری مناسب نیست.
میلگرد بافق یزد در طولهای 12 متر یا کوتاهتر، با رعایت سه استاندارد A1، A2 و A3 تولید میشود. این شامل میلگرد ساده با سایزهای 10 تا 150 میلیمتر و کلاف با سایزهای 16 تا 28 میلیمتر است. همچنین، میلگرد آجدار A2 در سایزهای 8 و 10 و میلگرد آجدار A3 در سایزهای 8 تا 40 میلیمتر عرضه میشود. این گستره وسیع از اندازهها و استانداردها، مطمئن میکند که شرکت یزد گزینههای مناسبی را برای نیازهای مختلف ساختمانی فراهم میکند.
استاندارد طراحی و ساخت میلگرد بافق یزد
استاندارد طراحی و ساخت میلگرد بافق یزد ممکن است بر اساس استانداردهای ملی یا بینالمللی مختلفی تعیین شده باشد، اما معمولاً استانداردهایی مانند ASTM (انجمن مهندسان مصرف) یا EN (اتحادیه استانداردهای اروپا) برای این منظور استفاده میشوند. در این استانداردها، مشخصات فنی میلگردها شامل ابعاد، وزن، خواص مکانیکی و سایر ویژگیها بهصورت دقیق تعیین شدهاند. برای دستیابی به استاندارد دقیق میلگردهای بافق یزد، بهتر است مستندات رسمی مربوط به این کارخانه یا ارتباط مستقیم با مراجع مربوطه مراجعه کنید.
استاندارد ISIRI برای طراحی و ساخت میلگردهای بافق یزد، شامل مجموعهای از مشخصات فنی و معیارهای مورد نیاز برای تضمین کیفیت و استفاده صحیح این محصولات است. این استاندارد شامل جزئیاتی از ابعاد، وزن، خواص مکانیکی، ترکیب شیمیایی و سایر ویژگیهای مهم میلگردها میشود. اهداف این استاندارد شامل ارتقاء ایمنی، عملکرد و پایداری محصولات میلگرد، بهبود فرآیندهای تولید و ارتقاء استانداردهای صنعتی در کشور است.
اصالت میلگردهای تولیدی مجتمع بافق یزد
محصولاتی که از مجتمع فولاد بافق یزد تولید میشوند، دارای علامت اختصاصی به نام BMISCO-CT هستند که به همراه آن شماره استاندارد ISIR3132 نیز حک شده است. این علامت و شماره استاندارد نشان دهنده مطابقت محصول با استانداردهای مورد نیاز است.
کیفیت میلگرد مجتمع بافق یزد
کارخانه میلگرد بافق در یزد، دارای یک آزمایشگاه مجهز و واحد کنترل کیفیت است که از دستگاههای پیشرفته برای انجام ارزیابیها و آزمایشهای کامل برای مطابقت محصول با استانداردهای مربوطه استفاده میکند. این کارخانه به طور مداوم از شمشهای باکیفیت و ترکیب آنها با عناصر آلیاژی متنوع استفاده میکند. وسایلی مانند یک دستگاه تست کشش جهانی، یک سنسور کششسنج دقیق مسیر کوتاه، یک دستگاه فشار با ظرفیت 100 تن و یک دستگاه خمش با ظرفیت 20 تن در این کارخانه به کار گرفته شدهاند. این تجهیزات به واحد تولید این کارخانه قدرت افزوده و میلگرد بافق یزد را با کیفیت بالا و رقابتی تولید میکنند.
اهمیت خرید میلگرد مجتمع بافق یزد
مجتمع بافق یزد با همکاری شرکت باسکوتکنیا اسپانیا، کارخانه نورد خود را تأسیس کرد. علاوه بر تولید میلگرد، در زمینههای دیگری مانند ساخت گندله، تولید و احیای فولاد نیز فعالیت دارد. واقعاً موقعیت مکانی این مجتمع فولادی باعث شده است که استانهای همجوار بیشترین نیاز خود را در پروژههای ساختمانی و صنعتی از بافق تأمین کنند.
این واحد صنعتی ابتدا ماشینآلات و تجهیزات خود را از کشورهای اروپایی تهیه کرده و با تولید 550 هزار تن محصول آغاز کرد. در سالهای اخیر، مجتمع بافق یزد موفق به دریافت گواهینامههای متعددی از جمله گواهینامههای ISO9001، ISO14001 و ISO18001 شده است. از نظر کیفیت، این مجتمع به عنوان یکی از بهترین و معتبرترین کارخانههای فولادی داخلی شناخته میشود.
قیمت میلگرد مجتمع بافق یزد
قیمت میلگرد ممکن است تحت تأثیر عوامل مختلفی قرار بگیرد، از جمله نرخ ارز، تقاضا و عرضه در بازار، شرایط اقتصادی، و همچنین هزینههای تولید و حمل و نقل. با توجه به این عوامل، قیمت میلگرد ممکن است متغیر باشد.
میلگرد بافق یزد یکی از محصولات حیاتی در صنعت ساختمانسازی است که قیمت آن به صورت روزانه و حتی لحظهای تغییر میکند. این تغییرات قیمتی به دلیل عوامل گوناگونی از جمله قیمت مواد اولیه، هزینه حمل و نقل، نرخ ارز، تورم و میزان عرضه و تقاضا اتفاق میافتد. به همین دلیل، بررسی قیمت روز میلگرد بافق یزد نشان دهنده اهمیت و تقاضای بالای این محصول در بازار ساختمانسازی است.
سوالات متداول
میلگردهای مجتمع بافق یزد با ویژگیهایی از جمله مقاومت بالا، استحکام مناسب، و استانداردهای کیفیت برتر تولید میشوند.
میلگردهای مجتمع بافق یزد با رعایت استانداردهای ملی و بینالمللی مانند استانداردهای A1، A2 و A3 تولید میشوند.
میلگردهای مجتمع بافق یزد در اندازهها و ابعاد مختلفی از 10 تا 150 میلیمتر تولید میشوند.
محصولات میلگردهای مجتمع بافق یزد به عنوان مواد اولیه در صنایع ساختمانی و ساخت و سازها مورد استفاده قرار میگیرند.
بله، محصولات میلگردهای مجتمع بافق یزد با رعایت استانداردهای ملی و بینالمللی مربوطه تأیید شده و تولید میشوند.
جمع بندی آهن وان
میلگرد مجتمع بافق یزد یکی از محصولات حیاتی در صنعت ساختمانسازی است که با توجه به تغییرات متنوع در عوامل مختلف اقتصادی، قیمت آن به صورت روزانه و حتی لحظهای تغییر میکند. این تغییرات قیمتی ناشی از عواملی مانند قیمت مواد اولیه، هزینه حمل و نقل، نرخ ارز، تورم و میزان عرضه و تقاضا است. از این رو، بررسی قیمت روز میلگرد بافق یزد نمایانگر اهمیت و تقاضای بالای این محصول در بازار ساختمانسازی است. جهت اطلاع از قیمتهای میلگرد مجتمع بافق یزد میتوانید با کارشناسان ما در آهن وان تماس حاصل نموده و از آخرین قیمتها مطلع شوید.


